공무원의 급여가 비록 다른 직업군에 비해 적다지만, 시절이 하수상한 시대다 보니, 고용도 보장되어 정년이 보장을 받을 수 있는 직업 군인 공무원이라는 것은 인기 직업이죠.
그만큼 공무원 시험 경쟁률은 높고 공무원 시험을 준비하는데 고시에 버금갈 정도의 노력이 필요합니다.
오늘은 공무원의 봉급에 대해 많은 사람들이 궁금해 하는 부분인 2018 공무원 봉급표에 대해서 알아봅니다.
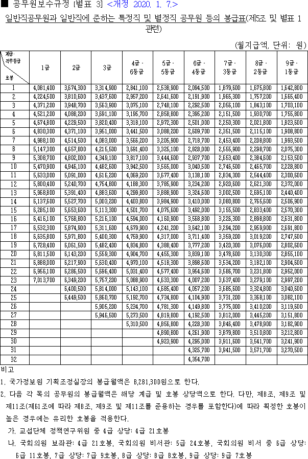
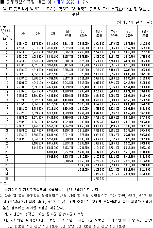
먼저 일반 행정직렬 공무원의 봉급표를 알아보겠습니다.


가장 하위직 공무원인 9급 1호봉 공무원의 월급은 2018년 1백44만 8천8백 원에서 2020년 164만원이 되었습니다.
기본 월봉급 이외의 수당(가족수당,정액급식비,직급보조비 등)은 제외되었으니 실제 받게 될 수당을 포함하면 월급 실수령액은 조금 더 많겠죠?
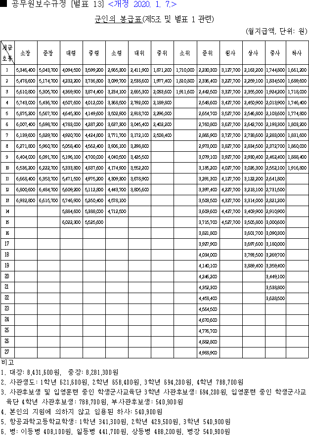
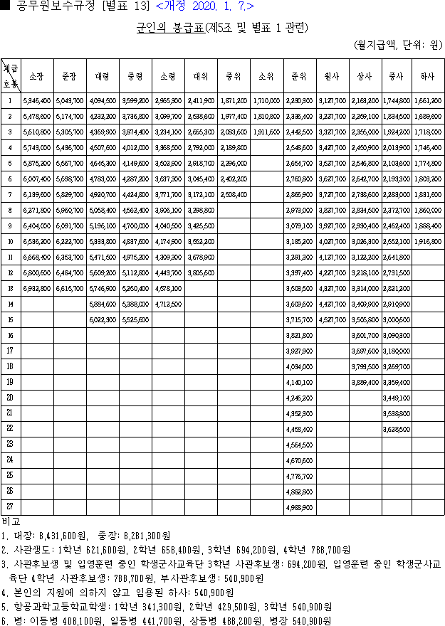
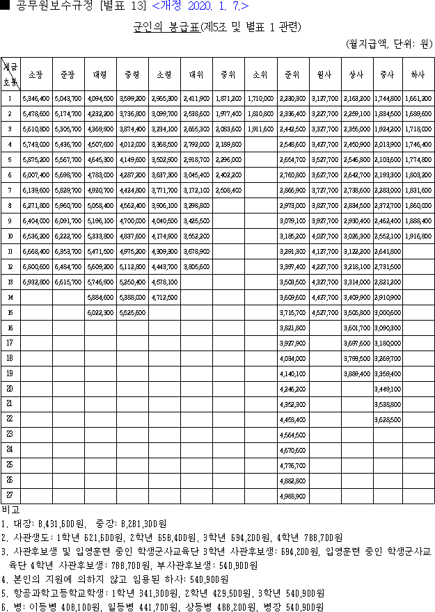
다음은 2020 군인 봉급표에 대해 알아보겠습니다.
직업군인이라 할 수 있는 일반 공무원 하위공무원 격에 해당하는 부사관인 하사부터 소장까지 표로 나와있고, 중장과 대장의 급여는 별도 표기되어 있습니다.


2016년 1호봉의 하사 봉급은 1백만7,300원입니다.
추가로 기타 제 수당들이 더 붙으면 월 실수령액은 당연히 조금 더 늘겠죠?
(하사는 주로 영내 생활을 하니 주거비용은 적게 들겠죠?)
2018년 하사 월급이 145만 원이 되었습니다.
수당이 기본급에 포함되었으니 그렇습니다.
2020년 하사 월급은 166만원으로 9급공무원 보다 기본급만 놓고 보면 많아 진것처럼 보입니다.
다음은 2020 경찰공무원 봉급표예요.

2018년 1호봉 순경 월급의 경우 153만 원으로 일반직 9급 144만원에 비해 9만원 가량 높았습니다.
하지만 2020년에는 같아졌죠.

2016년에는 경찰 경감 계급 1호봉은 200만 원이 조금 안 되는 1백99만 원이었어요.
2018년에는 220만 원에 조금 못 미치네요.
이 번에는 학교에서 근무하는 교원, 교사들의 봉급표입니다.

2020년 초등교사 호봉표는 위와 같습니다.
초봉은 8호봉인 200만원으로 봐야 합니다.
일반직렬 공무원으로 비교하면 7급에 해당하는 급여가 됩니다.

유치원 교사 월급, 초등학교 선생님 초등교사 월급부터 중등교사, 고등학교 선생님 월급까지 모두 동일합니다.
다만 호봉의 차이로 인한 월급 차이는 존재.
초봉은 지금까지 살펴본 봉급표 중 가장 높은 1,573,100원입니다.
하지만 정교사 실제 초봉은 8호봉부터 일반적으로 시작하기 때문에 더 많이 받죠.
공무원들 같은 경우엔 봉급표 이 외에 수당이 있으니 급여가 작은 거 같지만 수당에 따라 봉급이 많이 달라집니다.
요즘 인기 많은 직업인 공무원들 봉급표를 알아보았는데요.
사실 공무원이 이렇게 인기가 있는 만큼 공무원이 되기란 쉽지 않습니다.
공무원 시험 준비하시는 분들이 힘내시는데 조금이나마 힘이 되었으면 좋겠습니다.
이상 2020 공무원 봉급표에 대하여 알아보았어요.
오늘 하루도 즐거운 하루 보내시길 바라며 오늘의 포스팅을 마치도록 하겠습니다.
'기타' 카테고리의 다른 글
| 한국이 절대 안 망하는 나라인 이유 국난 극복이 특기인 한민족 (0) | 2020.04.04 |
|---|---|
| 중고나라에 올린 별의커비 트리플 디럭스 게임칩 (0) | 2020.03.31 |
| 김가영 기상캐스터 움짤 gif (0) | 2020.02.26 |
| 스타워즈 가계도 인물관계도 레이 부모 정체 (0) | 2020.02.19 |
| 2020년 삼성 사장단 인사 명단, 박학규,전경훈, 황성우,최윤호 부사장 이하 정기 삼성전자 임원인사 21일 이후 (0) | 2020.01.21 |