본문 바로가기
반응형

연봉3

2024년 공무원 봉급표 2024 임금 인상률 2024년 공무원 봉급표 2024 임금 인상률 2024년 공무원 봉급 인상률이 발표되었습니다. 이번에는 직급에 관계없이 모든 공무원에게 2.5%의 봉급 인상이 적용됩니다. 이로 인해 지난 3년 동안의 최저 임금 인상률을 능가하는 큰 폭의 인상이 이루어집니다. 이 글에서는 2024년 공무원 봉급 인상률을 자세히 살펴보고, 각 직급별 봉급을 확인해보겠습니다. 2024년 공무원 봉급 인상률 2024년 공무원 봉급 인상률은 직급과 상관없이 모든 공무원에게 동일하게 2.5%로 결정되었습니다. 이는 지난 3년 동안의 최저 임금 인상률인 1%를 크게 상회하는 인상률입니다. 이러한 결정은 최저임금의 인상으로부터 파생된 것으로, 공무원들에게도 적용되었습니다. 2024년 공무원 봉급 인상률: 2.5% 2023년 인상률: .. 2023. 11. 25.
2019 군인 월급 2018 직업군인 봉급표 2019 군인 월급 2018 직업군인 봉급표 군인 병력의 대부분을 차지하고 있는 사병, 즉 국방의 의무를 지기 위해 군대에 있는 병사들의 2017년 월급은 다음과 같았다. 이병 월급 - 163,000원 (3개월) 일병 월급 - 176,000원 (7개월) 상병 월급 - 195,000원 (7개월) 병장월급 - 216,000원 (4개월) 2016년에 비해 9.6% 정도 올랐다지만 턱없이 부족한 용돈 수준도 되지 않았다. 다행히 2018 군인월급은 전년 대비 88.8%나 인상되었다. 병장월급 기준으로 2018년에는 40만 원이고 2019 군인 월급은 병장 기준으로 54만 원으로 2018년 대비 33.3%가 인상될 예정이었다. 2020년에는 이병월급이 51만 원, 병장은 67만 원을 받게 된다고 홍보되었었으나.... 2018. 12. 26.
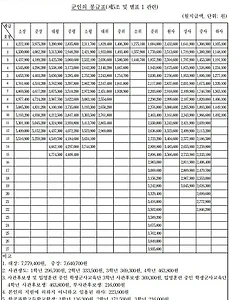
해군, 공군, 육군 특전사 대위 연봉 가끔 사람들이 얘기하다가 군인 월급에 대해서 얘기할 때가 있습니다. 이런 대화중에 가끔 어처구니 없는 것이, "해군이 월급이 더 많다. 육군이 더 많이 받는다. 공군의 월급이 더 많다" 등등 갑론을박이 벌어집니다. 그런데 말입니다. 사실 군종에 상관없이 같은 호봉의 같은 계급의 군인 기본월급은 똑같습니다. 예컨데 육군 대위 월급이나 공군 대위 월급이나, 고공낙하를 자주하는 특전사 대위 월급은 기본급 만큼은 모두 같습니다. 다만 공군 파일럿의 경우, 비행장려금과 위험수당 등이 더해져서 같은 호봉의 같은 계급의 육군 대위에 비해 많은 연봉을 받게 됩니다. 즉, 공군 대위 연봉은 육군 대위 연봉보다 많습니다. 일반 보병 대위연봉보다 특전사 대위 연봉이 훨씬 많은 이유는 고공낙하등에 따른 수당이 더해져서 그렇습.. 2018. 5. 18.
반응형